DK
ABC For nye deltagere
Generalforsamling 2025
Om klubben
Generalforsamling 2025
Om klubben
BESTYRELSEN
Vedtægter
Reglement
Referater
Arkiv
Udvalg
Hjemmeside
Eventudvalg
Betingelser
Hold & Info
HOLDTILMELDING
Judo
Bliv medlem
INSTRUKTØRER
Judo
Judoens historie
Graduerings pensum, Børn 6-12
Graduerings pensum, Ungdom 12-
Graduerings pensum, Senior 15+
Jiu-jitsu
Jiu-jitsuens historie
Graduerings pensum
Aikido inaktiv
EVENT
KALENDER
KALENDER
Lukkedage
Galleri
Ukendt brugernavn/password
*
*
Facebook login
Husk mig
Glemt password
Opret profil
Log ind
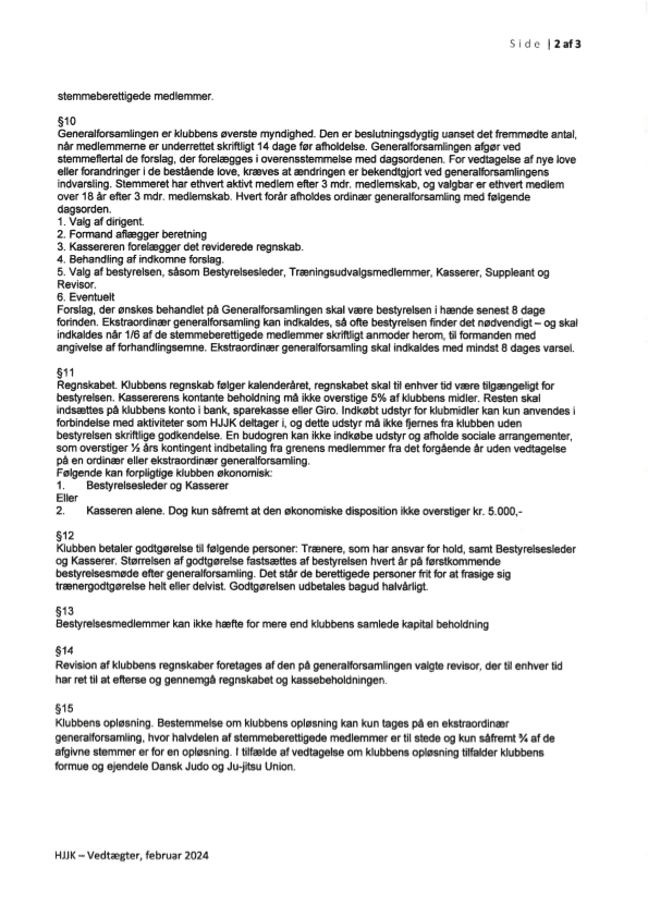
Hvidovre Judo og Jiu-jitsu Klubs vedtægter:
Vedtaegter 2016-11.pdf
Vedtaegter 2017-04.pdf